Il ruolo di latte e derivati nell’alimentazione dello sportivo

L’opinione del Prof. LUCA PIRETTA Gastroenterologo, Nutrizionista e Docente di Allergie e intolleranze alimentari Università Campus Bio-Medico di Roma
Il latte e i suoi derivati possono giocare un ruolo decisivo nell’alimentazione dello sportivo. Le proteine del latte sono molto utili perché sono di alto valore biologico contribuendo in modo determinante allo sviluppo e al mantenimento della massa muscolare e della matrice dell’osso.
In particolare, le sieroproteine del latte, grazie al loro elevato contenuto di aminoacidi come leucina e valina, sono il principale strumento di costruzione e ricambio delle strutture muscolari e inoltre riducono l’infiammazione sarcopenica nell’anziano.
In età avanzata, l’assunzione di proteine del latte in associazione ad un allenamento di resistenza sembra favorire un aumento della forza muscolare maggiore rispetto alle proteine di origine vegetale.
Altri nutrienti contenuti nel latte, come il calcio, il fosforo e la vitamina D, sono di notevole importanza nell’anziano, in quanto agiscono positivamente sulla salute delle ossa oltre che dei muscoli (sia a livello strutturale che funzionale), elemento fondamentale per ridurre il rischio di frattura a seguito di cadute. La nicotinamide, derivata dalla niacina (vitamina B3) agisce sul metabolismo del NAD e sulle sirtuine, proteine coinvolte in diversi processi anti-aging a livello di molti organi, inclusi muscolo, fegato e cervello.



L’IMPORTANZA DELL’IDRATAZIONE NEGLI SPORT INVERNALI
È importante ricordare che durante il periodo invernale in montagna è maggiore il rischio di disidratazione perché l’ambiente è molto secco e questo rende fondamentale la prevenzione e la correzione di questa evenienza favorita dall’attività sportiva con una buona idratazione. Il latte ha un alto indice di idratazione, superiore a quello dell’acqua e delle bevande sportive.
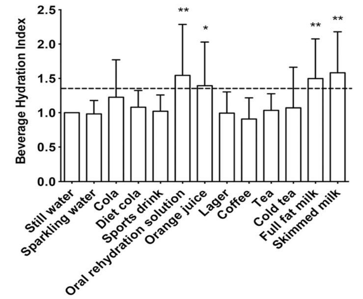
Un recente studio ha confrontato gli effetti di latte (scremato e intero), acqua, una bevanda a base di carboidrati ed elettroliti per lo sport e altre bevande, somministrate durante l’esercizio fisico, sulla successiva perdita di fluidi dovuta all’esposizione al calore, in uomini fisicamente attivi. Il latte si è dimostrato superiore a tutte le altre bevande nel ripristinare e mantenere il bilancio idrico, eccetto quella preparata impiegando una specifica soluzione reidratante orale, risultata peraltro solo lievemente migliore (fig.1).
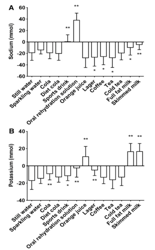
Anche il recupero di minerali importanti come sodio e potassio risulta essere più efficace con il latte rispetto ad altre bevande (fig 2).

Figura 1. Indici di idratazione in relazione alla tipologia di bevanda.

Figura 2. Bilancio netto di sodio (A) e potassio (B) 2 ore dopo l’ingestione di 1 L di varie bevande comunemente consumate e disponibili in commercio. Le bevande con diverse risposte all’acqua naturale sono state identificate mediante analisi t test per dati appaiati: *P, 0,05, **P, 0,01. I valori sono medie 6 DS di n = 17 osservazioni su ciascuna bevanda di prova, ad eccezione di succo d’arancia e cola light (n = 16) e tè (n = 15).
MICROBIOTA, BARRIERA INTESTINALE ED ESERCIZIO FISICO MODERATO: FATTORI CHIAVE PER LA SALUTE
Una considerevole mole di documentazione scientifica ha dimostrato come il microbiota in salute sia un fattore chiave nella prevenzione delle malattie e nel mantenimento dello stato di benessere in generale. Il microbiota interagisce con la barriera intestinale in modo molto intelligente. Stimola il sistema immunitario gastrointestinale (ricchissimo di cellule deputate alle difese dell’organismo come linfociti, macrofagi, cellule dendritiche, ecc.) mantenendolo in stato di piena efficienza e pronto a reagire ad aggressioni esterne. Inoltre, compete con i batteri patogeni impedendone l’insediamento e quindi diventa lui stesso il primo “antibiotico” del nostro corpo.
Altrettanto importante risulta il ruolo della barriera intestinale. Quando viene meno la sua integrità, e di conseguenza aumenta la sua permeabilità, molte sostanze non idonee e antigenicamente pericolose così come molti batteri la possono attraversare dando origine ad una condizione di infiammazione cronica anche a distanza.
Una crescente quantità di studi pubblicati ha messo in relazione l’attività fisica con una possibile modifica della composizione del microbiota intestinale. L’esercizio fisico moderato è stato correlato con una maggiore salute dell’intestino grazie all’azione favorente lo sviluppo di alcune specie batteriche produttrici di butirrato, molecola essenziale al mantenimento dell’integrità di barriera, all’equilibrio della permeabilità intestinale e alla salute delle stesse cellule intestinali.
Non solo, il miglioramento dell’ecosistema batterico nel suo insieme, espresso principalmente da un ottimale rapporto tra i più importanti phyla e soprattutto dalla biodiversità delle specie batteriche, sembra essere conseguenza di un regolare esercizio fisico. Questo miglioramento della composizione del microbiota sembra essere correlato anche al BMI dell’individuo.
Allo stesso tempo però, un esercizio fisico troppo intenso e soprattutto molto duraturo, rischia di compromettere seriamente l’equilibrio dell’asse microbiota-barriera intestinale. Infatti, attraverso molti meccanismi, che riguardano la riduzione del flusso splancnico, la produzione di citochine pro-infiammatorie, l’aumento della permeabilità di barriera, e l’alterazione delle difese immunitarie intestinali si rischia la riduzione dello strato di muco sopraepiteliale, il passaggio di lipopolisaccaridi batterici e la traslocazione di batteri al torrente ematico con endotossinemia che può avere ripercussioni importanti sullo stato di salute dell’individuo. Il calore e lo stress ossidativo causati dall’intenso sforzo fisico aumentano la permeabilità della barriera intestinale per difetto di fosforilazione della claudina e occludina (proteine chiave delle tight junction).
È stato ampiamente dimostrato che il latte e i derivati contribuiscono a mantenere il microbiota intestinale in salute e a garantire l’integrità della barriera intestinale, ma questo effetto risulta di particolare importanza nello sportivo grazie alla capacità di sviluppare una maggior presenza di lattobacilli e bifidobatteri in virtù dell’abbondante presenza di oligosaccaridi che funzionano come importanti prebiotici.
In definitiva, il latte si adatta alle esigenze dello sportivo, rappresenta un valido alimento per lo stato di idratazione per il reintegro di nutrienti e sali minerali nel post-gara, aiuta a migliorare la composizione del microbiota intestinale e viene raccomandato dalle linee guida in tutte le età di un individuo.
Chinthrajah RS, Hernandez JD, Boyd SD, Galli SJ, Nadeau KC. Molecular and cellular mechanisms of food allergy and food tolerance. J Allergy Clin Immunol. 2016 Apr;137(4):984-997. doi: 10.1016/j.jaci.2016.02.004. Review.
Dao MC, Everard A, Aron-Wisnewsky J et al. Akkermansia muciniphila and improved metabolic health during a dietary intervention in obesity: relationship with gut microbiome richness and ecology. Gut. 2016 Mar;65(3):426-36. doi: 10.1136/gutjnl-2014-308778. Epub 2015 Jun 22.
Jeukendrup AE, Vet-Joop K, Sturk A et al. Relationship between gastro-intestinal complaints and endotoxaemia, cytokine release and the acute-phase reaction during and after a long-distance triathlon in highly trained men. Clin Sci 2000;98(1):47-55.
Maughan RJ, Watson P, Cordery PA, Walsh NP, Oliver SJ, Dolci A, Rodriguez-Sanchez N, Galloway SD. A randomized trial to assess the potential of different beverages to affect hydration status: development of a beverage hydration index. Am J Clin Nutr. 2016 Mar;103(3):717-23.
Mailing, Lucy J.; Allen, Jacob M.; Buford, Thomas W.; Fields, Christopher J.; Woods, Jeffrey A. Exercise and the Gut Microbiome: A Review of the Evidence, Potential Mechanisms, and Implications for Human Health Exercise and Sport Sciences Reviews47(2):75-85, April 2019.doi: 10.1249/JES.0000000000000183
ter Steege RW, Van der Palen J, Kolkman JJ. Prevalence of gastrointestinal complaints in runners competing in a long-distance run: an internet-based observational study in 1281 subjects. Scand J Gastroenterol 2008.43:1477–1482
Waterman JJ, Kapur R. Upper gastrointestinal issues in athletes. Curr Sports Med Rep 2012;(2):99-104. doi: 10.1249/JSR.0b013e318249c311.
Aslam H, Marx W, Rocks T et al. The effects of dairy and dairy derivatives on the gut microbiota: a systematic literature review. Gut Microbes, 2020 Nov 9;12(1):1799533. doi: 10.1080/19490976.2020.1799533.
Aljutaily T, Huarte E, Martinez-Monteagudo S et al. Probiotic-enriched milk and dairy products increase gut microbiota diversity: a comparative study. Nutr Res, 2020 Oct;82:25-33. doi: 10.1016/j.nutres.2020.06.017. Epub 2020 Jul 6.
Ghosh TS, Rampelli S, Jeffery IB et al. Mediterranean diet intervention alters the gut microbiome in older people reducing frailty and improving health status: the NU-AGE 1-year dietary intervention across five European countries Gut, 2020 Jul;69(7):1218-1228. doi: 10.1136/gutjnl-2019-319654. Epub 2020 Feb 17.

